Devices that use quantum sensors take advantage of quantum properties, unlike conventional instruments that apply classical physics in their operation.
Quantum properties arise from the unusual nature of matter and light, such protons and electrons, that are tiny, fundamental particles. These particles are restricted to certain ‘allowed’ energies —making them quantised. They also have a property known as spin, in which they act as tiny magnets.
A quantum sensor uses the central weakness of quantum systems—their strong sensitivity to external disturbances.
Some existing technologies based on quantum sensing include atomic clocks, magnetometers and magnetic resonance imaging (MRI).
This first generation of technology is sometimes described as Quantum 1.0 to distinguish it from the newer applications in Quantum 2.0. The latter are using improved material science and device fabrication capabilities to generate even more sensitive, cost-efficient and practical sensors.
While theoretically superior, they require liquid nitrogen and/or helium, which limits their integration and use.
New ultraprecise quantum sensors measure important physical and temporal quantities—time, dynamic motion including forces, acceleration and rotation, and fields, such as gravitational, electromagnetic and mechanical, with unprecedented precision and stability.
Quantum sensors are often more sensitive. They can detect extremely tiny changes, such as an increase in energy caused by a single proton. And they often give more precise readings than their classical counterparts because quantum properties are known very accurately.
Quantum sensors can also be self-calibrating and deliver more consistent results than conventional instruments. For example, classical devices such as pressure sensors need to be calibrated at the factory and recalibrated periodically.
Devices that use the properties of atoms never need to be calibrated, because all atoms of a given type are identical and their properties never change. And a quantum quantity such as the wavelength of the red light used in a laser, is known very precisely from calculations and experiment.
A third advantage of quantum sensors is their small size. The entire sensor can often be miniaturised.
Quantum sensors can be combined with imaging to capture details with unprecedented sensitivity.
These technologies are bringing benefits to applications in biomedicine, nuclear safeguards, geology, mineral exploration, navigation, astronomy, computing, defence, security and more.
Some of the most promising applications for quantum sensors in defence include support enhanced positioning (quantum accelerometers, magnetometers, spectrometers, radar, gyroscopes and clocks); enhanced navigation and timing; enhanced situational awareness; enhanced human-machine interfacing and enhanced defence science and industry (quantum microscopes, spectrometers and nanosensors).
Quantum sensors often exploit quantum superposition and coherence to apply interferometry techniques to detect small changes in a qubit’s state by the passage of time, dynamics or interactions with fields. Quantum entanglement between multiple qubits may be exploited to further enhance precision. Stability is achieved through the qubits having fixed and universal susceptibilities, including electron gyromagnetic ratio and atomic mass.
A closer look at the science
For a quantum system to function as a quantum sensor, it must have these attributes:
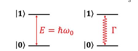
- The quantum system has discrete, resolvable energy levels. Specifically in a two-level system (or an ensemble of two-level systems), it has a lower energy state |0 and an upper energy state |1 that are separated by a transition energy E = ω0 (see below). Quantum sensing exploits changes in the transition frequency ω0 or the transition rate Γ in response to an external signal V.
(2) It must be possible to initialise the quantum system into a well-known state and to read out its state.
(3) The quantum system can be coherently manipulated, typically by time-dependent fields.
(4) The quantum system interacts with a relevant physical quantity V (t), like an electric or magnetic field.
Please note this explainer was prepared to coincide with a Quantum sensing webinar held by ANSTO and Refraction Media this week. Watch the video recording of the webinar.
The information in this article was taken from the following sources:
Quantum sensing explained https://www.nist.gov/quantum-information-science/quantum-sensing-explained
Quantum sensing C. L. Degen, F. Reinhard, and P. Cappellaro Rev. Mod. Phys. 89, 035002. Published in Reviews of Modern Physics 25 July 2017
DOI: https://doi.org/10.1103/RevModPhys.89.035002
Quantum technology: Sensing and imaging https://researchcentre.army.gov.au/library/land-power-forum/quantum-technology-sensing-and-imaging
Quantum Sensing and its Potential for Nuclear Safeguards https://doi.org/10.2172/1829781
Quantum Information Science and Technology for Nuclear Physics https://doi.org/10.48550/arXiv.2303.00113



